pumps ref:D28 asp:D28
pumps ref:D30 asp:D30
pumps ref:D38 asp:D38
pumps ref:D40 asp:D45
pumps ref:D40 asp:v50
pumps ref:D40 asp:D50
pumps ref:D50 asp:D60
pumps ref:D48 asp:D63
pumps ref:D53 asp:D63
pumps ref:D60 asp:D70
gland box
turbine
capacitors
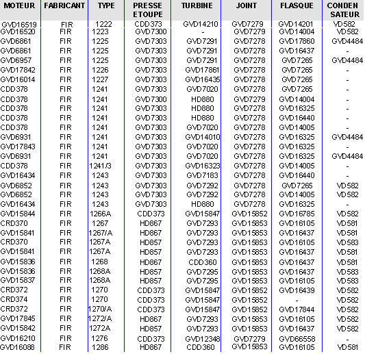
table of correspondence fir
table of correspondence lgb
table of correspondence lgb / ca
table of correspondence ca